에코델타시티 엘가 로제비앙 모델하우스는 원활한 관람 및 대기없는 상담을 위하여 방문예약제로 운영중입니다. 방문을 원하시는 고객님은 방문예약신청란을 통해서 신청 해주시면 빠른시간내에 약도전송 및 안내문자 발송해드립니다. 대표번호로 전화하셔도 됩니다. tel:1666-7695
에코델타시티 엘가 로제비앙 분양가 알아보기
안녕하세요, 오늘은 에코델타시티 엘가 로제비앙의 분양가에 대해 알아보겠습니다. 에코델타시티는 최근 많은 관심을 받고 있는 주거 단지로, 주변 환경과 인프라가 뛰어나 많은 사람들이 투자 및 거주를 고려하고 있습니다.
엘가 로제비앙은 에코델타시티 내에 위치한 대단위 아파트 단지입니다. 이 단지는 총 998세대로 구성되어 있으며, 다양한 평형대의 아파트를 제공합니다. 특히, 근처에 수많은 자연경관이 있어 쾌적한 주거 환경을 자랑합니다. 주위에는 산과 물이 어우러진 풍경이 펼쳐져 있어 생활의 질을 높여주는 요소로 작용합니다.
분양가 상세 확인
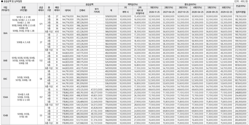
엘가 로제비앙의 분양가는 타입별로 다양합니다. 예를 들어, 84A 타입은 총 598세대로 6억 6백만원에 분양됩니다. 또한 84B 타입은 132세대가 5억 4,700만원, 84C 타입은 58세대가 5억 4,700만원으로 각각 분양됩니다. 아래의 표를 통해 보다 체계적으로 확인해보세요.
이렇게 구성된 엘가 로제비앙은 다양한 선택지를 제공하여, 개인의 라이프스타일에 맞는 주거공간을 찾을 수 있도록 돕습니다.
청약 일정 및 신청 방법
청약은 누구나 신청할 수 있지만, 일정과 조건이 있으니 미리 확인해 두는 것이 좋습니다. 청약 일정은 공식 홈페이지와 관련 커뮤니티를 통해 확인할 수 있으며, 필요한 서류 또한 미리 준비해 두어야 합니다. 특히, 소득 증명서와 재산세 납부 증명서는 필수로 요구됩니다.
주변 인프라 및 편의시설
에코델타시티는 교통과 교육시설이 잘 갖춰져 있어 생활 편의성이 뛰어납니다. 강서선과 부전-마산 복선전철이 가까이 있어, 대중교통 이용 시 매우 유리합니다. 지역 내에는 다양한 학군이 형성되어 있어 자녀 교육에 대한 고민을 덜어줄 수 있습니다.
이 외에도 근처에는 여러 상업시설과 공원 등이 있어 일상 생활이 더욱 편리해질 것입니다.
마무리 및 추천
마지막으로, 에코델타시티 엘가 로제비앙은 뛰어난 입지 조건과 합리적인 가격대 덕분에 많은 사람들에게 추천할 만한 단지입니다. 투자 가치를 고려할 때도 매우 매력적인 선택이 될 것입니다.
에코델타시티 엘가 로제비앙 분양가는 이렇게 다양하며, 주거 환경과 편의시설이 잘 갖춰져 있어 많은 사람들에게 사랑받고 있습니다.


전화상담